GENERAL_ASPECTS_OF_ENERGY_MANAGEMENT_AND_ENERGY_AUDIT
(CHAPTER 7:FINANCIAL MANAGEMENT)
Introduction
Energy Projects are very important to the economy and environment. In case of energy conservation projects—the more the number, the better it is for the environment. It is important to justify any capital investment project by carrying out a financial appraisal. However, the biggest constraint in increasing the number of energy projects is the lack of finance. Alternative finance arrangements can overcome the “initial cost” obstacle, allowing firms to implement more energy management proposals. However, many energy managers are either unaware or have difficulty in understanding the variety of financial arrangements available to them. Most of the energy managers and auditors use simple payback analysis to valuate projects, which do not reveal the added value of after-tax benefits. Sometimes energy managers do not implement Energy Management Proposals because financial terminology and contractual details intimidate them. The financial issues associated with the capital investment in energy saving projects are investigated in this chapter.
Investment Need, Appraisal and Criteria
When planning an energy efficiency or energy management project, the investment involved should be considered. The need for investments in energy conservation can arise for installing new equipment, improving process, providing staff training, and implementing or upgrading energy information system.
Therefore, as with any type of investment, energy management proposals should show the likely return on any capital that is invested. Consider a case of an energy auditor or consultant who advises the senior management of an organization that capital should be invested in new boiler plant. Inevitably, the management of the organization would enquire:
¢ How much will the proposal cost?
¢ How much money will be saved by the proposal?
These are relevant questions as the energy project is only one of many potential projects from which top management may choose only a few to implement. It is the job of senior management to invest capital where it is going to obtain the greatest return. Management normally demand higher rate of return from energy projects than core or direct profit-making investments. The information on costs involved in a project and potential returns is not easily obtained. The capital value of equipment usually decreases with time and it often requires more maintenance as it gets older. If money is borrowed from a bank to finance a project, then interest will have to be paid on the loan. Inflation too will influence the value of any future energy savings that might be achieved. It is important that cost appraisal process allows for all these factors with the aim of determining which investmentshould be undertaken in order to optimize the benefits achieved. To this end a number of accounting and financial appraisal techniques have been developed which help managers make correct and objective decisions.
To gain acceptance of top management, top management should be appraised on the size of energy problem technical and good housekeeping measures available to reduce waste. Before making any investment, it should be ensured that best performance is realized from existing plant and equipment, energy charges are set at the lowest possible tariffs, best energy forms (fuels or electricity) are used as efficiently as possible and that good housekeeping practices are being regularly practiced.
The benefits of energy management projects should be projected to senior management not only as energy savings, but also in terms of lower operational costs, low risk/reward ratio, reduced environmental cost, improved productivity, better product quality or enhanced quality of service and potential to improve the company’s share value. Most importantly, systematic financial management approach has to be followed to rate various investment options against anticipated savings.
Financial Analysis Techniques
In most respects, investment in energy efficiency is not different from any other area of financial management. So when the organization first decides to invest in increasing its energy efficiency, it should apply exactly the same criteria to reduce its energy consumption as it applies to all its other investments. A faster or more attractive rate of return on investment in energy efficiency should not be demanded.
The basic criteria for financial investment appraisal include:
¢ Payback period — is a measure of how long it will be before the investment recovers itself. This can determine how long the financing term needs to be there.
¢ Net Present Value (NPV) and Cash Flow — are measures that allow financial planning of the project taking into account streams of money inflow and outflow over a period of time. These measures provide the company with all the information needed to incorporate energy efficiency projects into the corporate financial system
¢ Return on Investment (ROJ) and Internal Rate of Return (IRR) — are measures that allow comparison with other investment options
Payback Period
The simplest technique which can be used to appraise a proposal is payback analysis. The payback period can be defined as the time (number of years) required to recover the initial investment (capital cost), considering only the Annual Net Savings (Yearly benefits- Yearly costs). Once the payback period has ended, all the project capital costs will have been recovered and any additional cost savings achieved can be seen as clear ‘profit’.
The shorter the payback period, the more attractive the project becomes. The length of the maximum permissible payback period is a matter of company choice.
The simple payback period can be calculated using the equation
Annual Net savings is the cost savings achieved after all the operational costs have been met. The word ‘simple’ is used as a prefix to the term “payback period’ to denote that time value of money is not considered in its calculation.
Example 7.1: Simple Payback period
A cogeneration system installation is expected to reduce a company’s annual energy bill by Rs. 23 Lakhs. If the capital cost of the new cogeneration installation is Rs. 90 Lakhs, and the annual maintenance and operating costs are Rs. 5 Lakhs, what will be the expected payback period for the project?
Advantages
A widely used investment criterion, the payback period seems to offer the following advantages:
¢ Itis simple, both in concept and application. Obviously a shorter payback generally indicates a more attractive investment. It does not use tedious calculations.
¢ It favours projects, which generate substantial cash inflows in earlier years, and discriminates against projects, which bring substantial cash inflows in later years but not in earlier years.
Limitations of payback period
¢ The payback period does not consider savings that are accrued after the payback period has finished (it favours projects which brings substantial cash inflows in earlier years and discriminates against projects which bring substantial cash inflows in later years).
Example 7.2: Drawback of payback period
For example consider the cash flows of two projects, A and B:
The payback criteria prefer Project A which has a payback period of 3 years, in comparison to Project B which has a payback period of 4 years, even though Project B has very substantial cash inflows in years 5 and 6.
1. Simple payback period does not consider the time value of money 1.e. money which is invested would accrue interest as time passes.
2. Cash inflows, in the simple payback calculation, are simply added without suitable discounting. This violates the most basic principle of financial analysis, which stipulates that cash flows occurring at different points of time can be added or subtracted only after suitable compounding/ discounting.
Return on Investment (ROI)
ROI expresses the “annual return” expected from a project as a percentage of capital cost or initial investment. ROI is an inverse of payback period.
In comparing projects, ROI does not require similar project life or capital cost for comparison. ROI must always be higher than cost of money (interest rate) so as to make the project attractive; the Greater the return on investment better is the investment.
Example 7.3: ROI
An outlay of Rs.100,000 for equipment is expected to provide an after-tax cash flow of Rs. 25,000 over a period of six years, without significant annual fluctuations. What is the return on investment?
Advantages
¢ Simple method and easy to calculate
¢ Returns expressed as percentage makes it easier to evaluate against the borrowing interest
Limitations of ROI
¢ It does not take into account the time value of money.
¢ It also does not account for the variable nature of annual net cash inflows. The 25 percent return indicated in the Example would be economically valid only if the investment yields Rs. 25,000 per year in perpetuity -not a very realistic condition!
Time Value of Money
A project usually entails an investment for the initial cost of installation, called the capital cost, and a series of annual costs and/or cost savings (i.e. operating, energy, maintenance, etc.) throughout the life of the project. To assess project feasibility, all these present and future cash flows must be equated to a common basis. The problem with equating cash flows which occur at different times is that the value of money changes with time. The method by which these various cash flows are related is called discounting, or the present value concept.
For example, if money can be deposited in the bank at 10% interest, then a Rs.100 deposit will be worth Rs.110 in one year’s time. Thus the Rs.110 in one year is a future value equivalent to the Rs.100 present value.
In the same manner, Rs.100 received one year from now is only worth Rs.90.91 in today’s money (i.e. Rs.90.91 plus 10% interest equals Rs.100). Thus Rs.90.91 represents the present value of Rs.100 cash flow occurring one year in the future. If the interest rate were something different than 10%, then the equivalent present value would also change. The relationship between present and future value is determined as follows:
Net Present Value Method
The net present value method considers the time value of money. This is done by equating future cash flow to its current value today, or in other words by determining the present value of any future cash flow. The present value is determined by using an assumed interest rate, usually referred to as a Discount rate. Discounting is the opposite process to compounding. Compounding determines the future value of present cash flows, whereas discounting determines the present value of future cash flows.
The net present value method calculates the present value of all the yearly cash flows (i.e. capital costs and net savings) incurred or accrued throughout the life of a project and summates them. As a matter of convention, costs are represented as negative values and savings as positive values. The sum of all the present values is known as the net present value (NPV). The higher the net present value, the more attractive is the proposed project.
The net present value (NPV) of a project is equal to the sum of the present values of all the cash flows associated with it. Symbolically,
The discount rate (k) employed for evaluating the present value of the expected future cash flows should reflect the risk of the project.
Hence the decision rule associated with the net present value criterion is: “Accept the project if the net present values is positive and reject the project if the net present value is negative”. A negative net present value indicates that the project is not achieving the return standard and thus will cause an economic loss if implemented. A zero NPV is value neutral.
The net present value takes into account the time value of money and it considers the cash flow stream in entire project life.
Example 7.4: NPV
Using the net present value analysis technique, evaluate the financial merits of the two proposed projects shown in the table. The annual discount rate is 8% for each project.
For a 10-year life-span, the net present value for project 1 is Rs. 10,254, while for project 2 it is Rs. 10867 Therefore project 2 is preferential proposal.
The whole credibility of the net present value depends on a realistic prediction of discount rate which could often be unpredictable. It is prudent to set the discount rate slightly above the interest rate at which the capital for the project is borrowed.
Advantages
The net present value criterion has considerable merits.
¢ It takes into account the time value of money.
¢ It considers the cash flow stream in its project life.
Internal Rate of Return Method
By setting the net present value of an investment to zero (the minimum value that would make the investment worthwhile), the discount rate can be computed. The internal rate of return (IRR) of a project is the discount rate, which makes its net present value (NPV) equal to zero. It is the discount rate in the equation:
CFt value will be negative if it is expenditure and positive if it is savings.
If this discount rate is greater than current interest rate, the investment is sound. This procedure, like net present value, can also be used to compare alternatives. The criterion for selection among alternatives is to choose the investment with the highest rate of return. The calculation procedure for determining IRR is tedious and usually requires a computer spreadsheet. The IRR function formula is available in Excel and can be used in practice. However, it is important to get acquainted with the fundamental procedure of determining the IRR. Determining IRR is an iterative process requiring guesses and approximations until a satisfactory answer is derived.
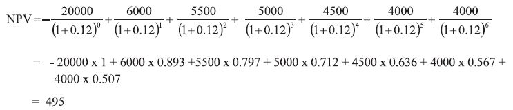
Example 7.5: IRR (Example of iterative procedure to estimate the IRR)
A proposed project requires an initial capital investment of Rs. 20,000. The cash flows generated by
the project are shown in the table below:
The discount rate has to be increased to bring NPV to zero.
Increasing the discount rate to 12%,
Further increasing the discount rate to 16%

It can be clearly seen that the discount rate which results in the net present value being zero lies
somewhere between 12% and 13%. It is closer to 13%.
The exact internal rate of return can be found by interpolation or plotting the net present value on a
graph as shown in Figure 7.1.
By interpolation Method
NPV at 13% = -65
NPV at 12% = +495

The Figure 7.1 shows the IRR for the project from graph is around 12 .88 %.
Advantages
A popular discounted cash flow method, the internal rate of return criterion has several advantages:
¢ It takes into account the time value of money.
¢ It considers the cash flow stream in its entirety.
¢ It makes sense to businessmen who prefer to think in terms of rate of return and find an absolute quantity, like net present value, somewhat difficult to work with.
Limitations
¢ The internal rate of return figure cannot distinguish between lending and borrowing and hence a high internal rate of return need not necessarily be a desirable feature.
Comparison between Net Present Value and Internal Rate of Return
Although, they look similar, there is an important difference between the two methods. In the net present value calculation, NPV of the project is determined by assuming that the discount rate (cost of capital) is known. In the internal rate of return calculation, we set the net present value equal to zero and determine the discount rate (internal rate of return), which satisfies this condition.
The net present value method is essentially a comparison tool which enables number of different projects to be compared while the internal rate of return method is designed to assess whether or not a single project will achieve a target rate of return.
Cash Flow
Capital Investment Considerations
To judge the attractiveness of any investment, we must consider the following four elements involved
in the decision:
1. Initial capital cost or net investment
2. Net operating cash inflows (the potential benefits)
3. Economic life (time span of benefits)
4. Salvage value (any final recovery of capital)
Initial capital cost or net investment
When companies spend money, the outlay of cash can be broadly categorized into one of two classifications; expenses or capital investments. Expenses are generally those cash expenditures that are routine, ongoing, and necessary for the ordinary operation of the business. Capital investments, on the other hand, are generally more strategic and have long term effects. Decisions made regarding capital investments are usually made by senior management and carry with them additional tax consequences as compared to expenses.
The capital investments usually require a relatively large initial cost. The initial cost may occur as a single expenditure or occur over a period of several years. Generally, the funds available for capital investments projects are limited.
Initial capital costs include all costs associated with preparing the investment for service. This includes purchase cost as well as installation and preparation costs. Initial costs are usually non-recurring during the life of an investment.
Net operating cash inflows
The benefits (revenues or savings) resulting from the initial cost for a capital investment occur in the
future, normally over a period of years. As a rule, the cash flows which occur during a year are generally
summed and regarded as a single end-of-year cash flow. Annual expenses and revenues are the recurring
costs and benefits generated throughout the life of the investment after adjusting for applicable taxes and effects of depreciation. Periodic replacement and maintenance costs are similar to annual expenses except that they do not occur annually.
Economic life
The period between the initial cost and the last future cash flow 1s the life cycle or life of the investment.
Salvage value
The salvage (or terminal) value of an investment is the revenue (or expense) attributed to disposing of the investment at the end of its useful life. If substantial recovery of capital from eventual disposal of assets at the end of the economic life, these estimated amounts have to be made part of the analysis. Such recoveries can be proceeds from the sale of facilities and equipment (beyond the minor scrap value), as well as the release of any working capital associated with the investment.
Cash Flow Diagrams
A convenient way to display the revenues (savings) and costs associated with an investment is a cash flow diagram. By using a cash flow diagram, the timing of the cash flows is clear and the chances of properly applying time value of money concepts are increased.
The economic life establishes the time frame over which the cash flows occur first. This establishes the horizontal scale of the cash flow diagram. This scale is divided into time periods which are frequently, but not always, years. Individual outlays or receipts are indicated by drawing vertical lines ppropriately placed along the time scale.
Upward directed lines indicate cash inflow (revenues or savings) while downward directed lines indicate cash outflow (costs) as a matter of convention. Figure 7.2 illustrates a cash flow diagram.

Although cash flow diagrams are simply graphical representations of income and outlay, they should exhibit as much information as possible. The requirements for a good cash flow diagram are completeness, accuracy, and legibility.
Sensitivity and Risk Analysis
Many of the cash flows in the project are based on assumptions that have an element of uncertainty. The cash flows such as capital cost, energy cost savings, maintenance costs can usually be estimated fairly accurately. Even though these costs can be predicted with some certainty, it should always be remembered that they are only estimates. Cash flows in future years normally contain inflation components and project life itself can vary significantly.
Sensitivity analysis is an assessment of risk. Because of the uncertainty in assigning values to the analysis, it is recommended that a sensitivity analysis be carried out - particularly on projects where the feasibility is marginal. How sensitive is the project’s feasibility to changes in the input parameters? What if one or more of the factors in the analysis is not as favourable as predicted? How much would it have to vary before the project becomes unviable? What is the probability of this happening?
Suppose, a feasible project is based on energy cost saving that escalates at 10% per year, but a sensitivity analysis shows the break-even is at 9% (i.e. the project becomes unviable if the inflation of energy cost falls below 9%). There is a high degree of risk associated with this project.
Many of the computer spreadsheet programs have built-in “what if’ functions that make sensitivity analysis easy. If carried out manually, the sensitivity analysis can become laborious - reworking the analysis many times with various changes in the parameters.
Sensitivity analysis is undertaken to identify those parameters that are both uncertain and for which
the project decision, taken through the NPV or IRR, is sensitive. Switching values showing the change
in a variable required for the project decision to change from acceptance to rejection are presented for
key variables and can be compared with post evaluation results for similar projects. For large projects
and those close to the cut-off rate, a quantitative risk analysis incorporating different ranges for key
variables and the likelihood of their occurring simultaneously is recommended. Sensitivity and risk
analysis should lead to improved project design, with mitigation actions against major sources of
uncertainty involved.
The various micro and macro factors that are considered for the sensitivity analysis are listed below.
Micro factors
1. Operating expenses (various expenses items)
2. Capital structure
3. Costs of debt, equity
4. Changing of the forms of finance e.g. leasing
5. Changing the project life
Macro factors
Macro economic variables are the variable that affects the operation of the industry of which the company operates. They cannot be changed by the firm’s management. Macro economic variables, which affect projects, include among others:
1.Changes in interest rates
2.Changes in the tax rates
3.Changes in the accounting standards e.g. methods of calculating depreciation
4.Changes in depreciation rates
5.Extension of various government subsidized projects e.g. rural electrification
6.General employment trends e.g. if the government changes the salary scales
7.Imposition of regulations on environmental and safety issues in the industry
8.Energy Price change
9.Technology changes
Financing Options
Capital investing requires a source of funds. For large companies multiple sources may be employed.
The process of obtaining funds for capital investment is called financing. The various conventional
financing options are:
1.Debt financing
2.Equity financing
3.Retained earnings
4.Capital lease
5.True lease
6.Performance contracting
Debt financing
Debt financing involves borrowing and utilizing money which is to be repaid at a later point in time. Interest is paid to the lending party for the privilege of using the money. The company owns the equipment and this arrangement is good for long-term use of equipment. The borrower is simply obligated to repay the borrowed funds plus accrued interest according to a repayment schedule. Car loans and mortgage loans are two examples of this type of financing.
The two primary sources of debt capital are loans and bonds. The cost of capital associated with debt financing is relatively easy to calculate since interest rates and repayment schedules are usually clearly documented in the legal instruments controlling the financing arrangements. An added benefit to debt financing under current tax laws is that the interest payments on debt capital are tax deductible. however, in case of debt financing it is the company that takes all the risk and must install and manage the project.
Equity financing
Under equity financing the lender acquires an ownership (or equity) position within the borrower’s
organization. As a result of this ownership position, the lender has the right to participate in the financial success of the organization as a whole. The two primary sources of equity financing are stocks and retained earnings.
The cost of capital for stocks is higher than the cost of capital for debt financing. Apart from higher profit sharing, this is also partially attributable to the fact that interest payments are tax deductible while stock dividend payments are not.
Retained earnings
Retained earnings are the accumulation of annual earnings surpluses that a company retains within the company’s coffers rather than paying out to the stockholders as dividends. Although these earnings are held by the company, they truly belong to the stockholders and hence the same cost of capital for stock is applied.
Capital lease
Capital lease allows for lower cost of capital with third-party participation. It is a mid-way between
pure debt and pure equity financing.
True lease
True lease allows use of equipment without ownership risks, offers reduced risk of poor performance, service, equipment obsolescence etc. and is particularly suitable for short-term use of equipment. ease
payments are tax deductible. No depreciation tax benefits are available and ownership does not occur even at the end of lease period. If the project is to be financed externally, one of the attractive options for many organizations is the use of energy performance contracts delivered by energy service companies, or ESCOs.
Energy Performance Contracting and Role of ESCOs
Energy Performance contracting is a unique arrangement that allows the industry to make necessary improvements in energy efficiency while investing very little money up-front. The contractor usually assumes responsibility for purchasing and installing the equipment, as well as maintenance throughout the contract. But the unique aspect of performance contracting is that the contractor is paid based on the performance of the installed equipment. Only after the installed equipment actually reduces expenses does the contractor get paid. Energy service companies (ESCOs) typically serve as contractors within this line of business.

This aspect of ‘payment-on-performance’ removes the incentive to “cut corners” on construction or other phases of the project, as with conventional contracting. In fact, often there is an incentive to exceed savings estimates. For this reason, performance contracting usually entails a more “facility wide” scope of work (to find extra energy savings), than loans or leases on particular equipment. With an industry-wide scope, many improvements can occur at the same time. For example, lighting and air conditioning systems can be upgraded at the same time. In addition, the indoor air quality can be improved. With a comprehensive industry management approach, a “multiplier effect” on cost reduction is possible. For example, if industry improvements create a safer and higher quality environment for workers, productivity could increase.
Depending on the company’s capability to manage the risks (equipment performance, financing, etc.) the company will delegate some of these responsibilities to the ESCO. In general, the amount of risk assigned to the ESCO is directly related to the percent savings that must be shared with the ESCO.
For example, a lighting retrofit has a high probability of producing the expected cash flows, whereas
a completely new process does not have the same “time tested” reliability. If the in-house energy
management team cannot manage this risk, performance contracting may be an attractive alternative.
Types of Performance Contracting
There are a few common types of contracts. The ESCO will usually offer the following options:
¢ Fixed fee
¢ Shared savings
¢ Guaranteed savings
In fixed fee, ESCO conducts an audit, designs the project and either assists the customer to implement
the project or simply advises the customer for a fixed lump-sum fee. In the fixed fee contract, the ESCO bears less risk compared to a savings based fee payment because their fee does not depend directly on the amount of the achieved savings.
In shared savings, ESCO designs, finances and implements the project, verifies energy savings and shares an agreed percentage of the actual energy savings over a fixed period with the customer. Percent energy savings contracts are agreements that basically share energy savings between the host and the ESCO. The more energy saved, the higher the revenues to both the parties.
A combination of part- fixed fee and part- shared savings is practiced as well.
In guaranteed savings, ESCO designs and implements the project but does not finance it, although it may arrange for or facilitate financing. The ESCO guarantees that the energy savings bill be sufficient to cover debt service payments.
Obviously, energy managers would prefer the options with “guaranteed savings.” However this extra security (and risk to the ESCO) usually costs more. Percent energy savings contracts are agreements that basically share energy savings between the host and the ESCO. The more energy saved, the higher the revenues to both the parties.
Drawbacks of ESCOs
Performance contracting does have some drawbacks. In addition to sharing the savings with an ESCO, the tax benefits of depreciation and other economic benefits must be negotiated. Whenever large contracts are involved, there is reason for concern. Many industries feel that dealing with an ESCO would be too confusing or complicated. Some feel that with complex contracts, there may be more margins for error. Therefore, it is critical to choose an ESCO with a good reputation and experience within the types of facilities

In some contracts, the ESCOs provide a guarantee for the savings that will be realized, and absorb the cost if real savings fall short of this level. Typically, there will be a risk management cost involved in the contract in these situations. Insurance is sometimes attached, at a cost, to protect the ESCO in the event of a savings shortfall.

Role of ESCOs
Through the years, ESCO services have become more varied. It has become a customer-driven industry and the customer typically has a selection of ESCO services from which to choose (Figure 7.3). Services offered by an ESCO usually include:
1. An investment grade energy audit to identify energy and operational savings opportunities, assess risks, determine risk management/ mitigating strategies, and calculate cost-effectiveness of proposed measures over time,
2.Financing from its own resources or through arrangements with banks or other financing ources,
3.The purchase, installation and maintenance of the installed energy efficient equipment; possibly maintenance on all energy consuming quipment;
4. New equipment training of operations and maintenance (O&M) personnel;
5.Training of O&M personnel in energy-efficient practices;
6. Monitoring of the operations and energy savings, so reduced energy consumption and operation costs persist;
7. Measurement and savings verification; and
8.A guarantee of the energy savings to be achieved.

Benefits to Industry
1.An immediate upgrade of facilities and reduced operating costs— without any initial capital investment;
2. Access to the ESCO’s energy efficiency expertise.
3.Positive cash flow—most projects generate savings that exceed the guarantee;
4.The opportunity to use the money, which would have been used for required upgrades or replacements to meet core business needs;
5.Improved and more energy-efficient operations and maintenance;
6.Several normal business risks are assumed by the ESCO, including the guaranteed performance of the new equipment for the life of the contract (not just through a warranty period);
7.Amore comfortable, productive environment; and
8. Services paid for with the money which the customer would otherwise have paid to the utilities for wasted energy.
Developing a Typical ESCO Contract
a) Self-assessment by organization to assess motivation for energy efficiency projects
b) Establish goals for the EE project
c) Conduct Feasibility study for EE project
d) Determine suitable EE project contract and financing
e) Enter into Energy Performance Contract (EPC) to initiate investment grade energy audit. (IGA)
1.The contract will have rewards and penalties built into it in the form of various guarantees. Contract duration will affect the project risk. The longer the duration, the higher is the risk and uncertainty of the contract.
2.Organization can contract with ESCO in one of three payment mechanism: a) fixed fee; b) shared savings; c) guaranteed savings.
f) Conduct of IGA and Implementation of commercially feasible energy efficiency measures
1.An investment grade energy audit is the process of conducting an energy audit to identify efficiency opportunities, and translating the technical findings into financial terms to present it as a bankable project capable of securing a loan.
2.Services of ESCO may be engaged in single step or two steps. In single step process, ESCO conducts the IGA and effects energy savings by implementing recommended measures. In two step process, organization contracts the ESCO to only conduct IGA and submit audit report. The organization prioritizes the measures for implementation based on time, capital investment and payback period.
A detailed audit includes data collection, measurements of the systems, analysis of the historical and measured data, and detailed energy savings calculations for suggested projects. The ESCO not only analyzes the performance of individual equipment, but evaluates the complete system in order to obtain a comprehensive efficiency solution that captures all energy efficiency opportunities, not just the more obvious ones.
An investment grade evaluation includes the following:
¢ Description of the baseline situation
¢ Project design, including basic engineering
¢ Technical analysis
¢ Project financials
¢ Baseline calculation
¢ Options for monitoring and verification
¢ Assessment of potential technical and financial risk and a risk mitigation plan
Based on IGA and discussions with organization, list of potential projects are prepared for implementation. The approved projects are taken up for detailed financial analysis taking into account savings, costs for engineering, design and implementation If the project is financed by commercial bank, detailed cash flow, internal rate of return, debt service coverage ratio and sensitivity analysis are prepared.
g) Risk assessment and mitigation plan is prepared covering design and construction risk, performance risk, financial, economic and regulatory risk.
h) Monitoring and verification of the project progress as per agreed protocols by organization and ESCO to undertake any midcourse correction for successful implementation.
Calculating savings
In addition to agreeing upon the baseline and allowable adjustments, both organisation and the ESCOs must agree on how to calculate the energy and cost savings resulting from the project. Once the work has been done to determine the baseline and adjustments, the energy savings is calculated as:
Energy Saved = Baseline — Current +/- Adjustment
Where,
Energy saved is the energy saved over a period of time from project start to a set point in time Baseline is the baseline energy consumption (say in kWh)
Current is the current energy consumption (determined by metering or the utility energy bill)
Adjustments are any adjustments, positive or negative, that need to be made to the baseline to bring energy use at the current point in time to the same set of conditions as the baseline set.
In order to calculate cost savings from the energy savings, the parties must agree on how to handle energy price fluctuations because the resulting amount should be a function only of the efficiency measures, not fluctuating energy costs. One method is to agree on a set price, either one defined upfront in the performance contract, or a formula or definition for calculating one (e.g. the average monthly energy cost over the time period being examined). These are details that need to be negotiated in the performance contract.
Case Study - Energy Efficiency in Buildings through ESCO
Project
ABC is one of buildings taken up for implementation of Energy Efficiency Measures (EEMs) under performance contracting. The investment grade energy audit for both buildings was conducted and energy savings potential was estimated. During the energy audit, special consideration was given to the application of performance measurement and verification system. The energy audit included collection of past energy consumption data and field-testing of various energy consuming equipment and systems.
Summary of EEMs
The energy efficiency measures are developed based on individual energy systems. The major energy consumption in the ABC Tower is in Lighting and Air Conditioning systems. A brief overview of EEMs is presented in table 7.1 below:

In addition to the capital cost for EEMs mentioned above, additional costs will be incurred for baseline
establishment, detailed engineering of EEMs and preparation of Detailed Project Report (DPR) in project preparation.
The total energy reduction potential is estimated to be 39% in energy consumption and 33% in energy bill.
Summary of Project Financials
The project financials indicate viability if all the EEMs are implemented together. The project assumes the ownership of all EEM assets with contractor and at the end of the contract it is transferred to the facility owner at nominal costs. The project viability is further improved as the contractor is given the responsibility of disposing the existing assets, which are being replaced by the more efficient one, and contractor is given the benefit.
Performance Measurement and Verification (PMV)
Contractor and facility owner shall do the performance measurement and verification jointly. The PMV would ensure that the guaranteed savings have been achieved. The whole facility PMV has been selected for establishing baseline and post implementation verification. This baseline is established based on the historical energy bills, inventory, weather data and adjustments. After the implementation
of project, the actual savings is calculated based on the facility utility bills after making adjustments.
Operation and Maintenance
The Contractor’s payments are linked to the actual energy bill reduction during the contract period.
To ensure the savings, Contractor shall also do the operation and maintenance of the building energy system during the contract period.
Baseline Power Consumption
The present power consumption based on the analysis of three years energy bill and adjusting the errors in the metering is as follows.
Baseline Energy Consumption
Savings Guarantees
The contractor guarantees that in each year of the term following substantial completion, the facility owner will realize the savings of at least 7,93,250 kWh (95% of the proposed 39% savings of approximately 8,35,000 kWh)
Term of Contract
The term of the Performance Contract and Maintenance services is 5 years from the day of Project.
Energy Saving Payments
The energy savings would be shared between contractor and facility owner in the ratio of 95% for contractor and 5% for owner for the first three years and in the ratio of 90% for contractor and 10% for owner in the fourth and fifth year. From the sixth year, the asset would be transferred to the host at the end of the contract period at nominal cost.
Maintenance Expenses Payment
In addition to above facility owner will pay contractor a fixed sum for maintaining the Energy Efficiency Measures.
Municipal Energy Efficiency Project through Performance Contracting
Project selection basis:
Municipalities spend large amounts of its money on purchasing energy for public services such as street lighting and water supply. Energy saving potential in water pumping alone is estimated at least 25 percent.
The budgets for these services lack funds to invest in energy efficiency improvements, and municipalities are looking for alternative ways to finance energy efficiency projects. Performance contracting is one such alternative to finance efficiency improvement projects without upfront investment. The project cost is paid out of the savings accrued thus allowing municipalities to finance the improvements out of savings accrued from the project.
In municipalities, performance contracts may often involve engineering firms such as water engineering companies in case of efficiency project involving water supply, other than an ESCO. However, ESCO participation in the project is beneficial because they bring managerial, technical and turn-key project implementation skills that often are lacking at the municipalities combined with the ability to structure project financing. Based on the municipalities’ needs, the ESCOs can finance EE implementation and collect their dues from shared or guaranteed savings accruing from the EE project.
Steps for developing Energy Efficiency Project in Municipality
1. Identify reasons for undertaking EE project. If need for EE project is established as a priority. Municipality should select most suited contract and financing option
2. Collect energy usage data by carrying out a preliminary (walk-through) audit. Municipalities should collect basic data on energy usage in an information sheet and internally assess the low cost and no cost options that can be implemented using its own operation and maintenance (O&M) funds (Self-assessment).
3. Develop and issue a request for Expressions of Interest (EOI) for conducting an investment grade energy audit and implementing an efficiency project in the target sector(s), such as water, wastewater, street lighting and municipal buildings. The EOI contains a brief description of the scope of work and basic information on the municipal installations to be audited, and requests information on the technical and financial capabilities of service firms including their personnel, audit instrumentation, and relevant experience.
4. Issue a Request for Proposal (RFP) to all viable firms who submitted EOIs. The RFP describes the facility’s energy use, equipment, operating schedule, maintenance problems, and equipment replacement or renovation plans, as well as the utility bill history for the past three years. It is desirable that a site visit be organized for interested ESCOs to tour the facility and interview facility staff before submitting their responses to the RFP.
5.Evaluate the proposals according to the terms of the RFP.
6.Finalize ESCO selection based on its expertise and relevant experience, making sure to match the skills of the ESCO with the needs of the Municipality.
7.Award the Investment Grade Audit (IGA) contract, which is an agreement with the ESCO to develop a project concept, and perform the IGA. The IGA report forms the basis for the energy performance contract between the Municipality and ESCO, identifying all feasible shortmedium- and long-term energy saving measures and their payback periods, and providing the baseline data to be used during monitoring and verification.
8.Package the documentation for third party financing, if necessary. The party taking on the financing (be it the Municipality or ESCO) puts together a package of information on the project, including the IGA report, for review by financial institutions. The financially relevant information contained in the IGA report is critical at this stage for convincing a financial institution to provide a loan.
9.Enter into the performance contract. The contract sets the terms and conditions, by which the ESCO implements the energy efficiency measures, including the responsibilities of the ESCO and Municipality, the compensation schedule for the ESCO, financing conditions, maintenance, personnel training, monitoring and verification procedures, risks and a risk mitigation plan, and the definition of the baseline and possible adjustments to it.
10.Monitoring and Verification (M&V) of results is performed according to the procedures in the performance contract. M&V determines the actual savings over the period of the contract and ensures that all parties are getting full value from the energy performance contract, including compensation for the ESCO. It includes approval of equipment installation based on the contract specifications, and involves regular communication between the ESCO and Municipality to monitor successful implementation of the energy saving measures. Often, M&V can be performed by an independent third party expert(s).
Solved Example:
An oil fired reheating furnace heats steel billets from 40°C to 1220°C at a furnace efficiency of 28%.
The furnace operates for 4700 hours per annum. The GCV of furnace oil is 10,000 kcal /kg and density
is 0.94kg/litre. The cost of furnace oil is Rs.45 /liter. The specific heat of billets is 0.12 kcal/kg°C.
1.Calculate the amount of energy necessary to heat 12 tons of steel billets per hour
2.Calculate liters of furnace oil fired per tons of steel billets.
3.If the efficiency of the furnace is improved from 28% to 30% by adopting ceramic fibre insulation, calculate the hourly furnace oil cost saving
4.What is the simple payback period if the investment is Rs. 20 lakhs ?
5. How large could be the investment to improve the efficiency at an internal rate of 16% and per year over 6 years.
-----------------------
Chapter 8
Comments